Thumbnail

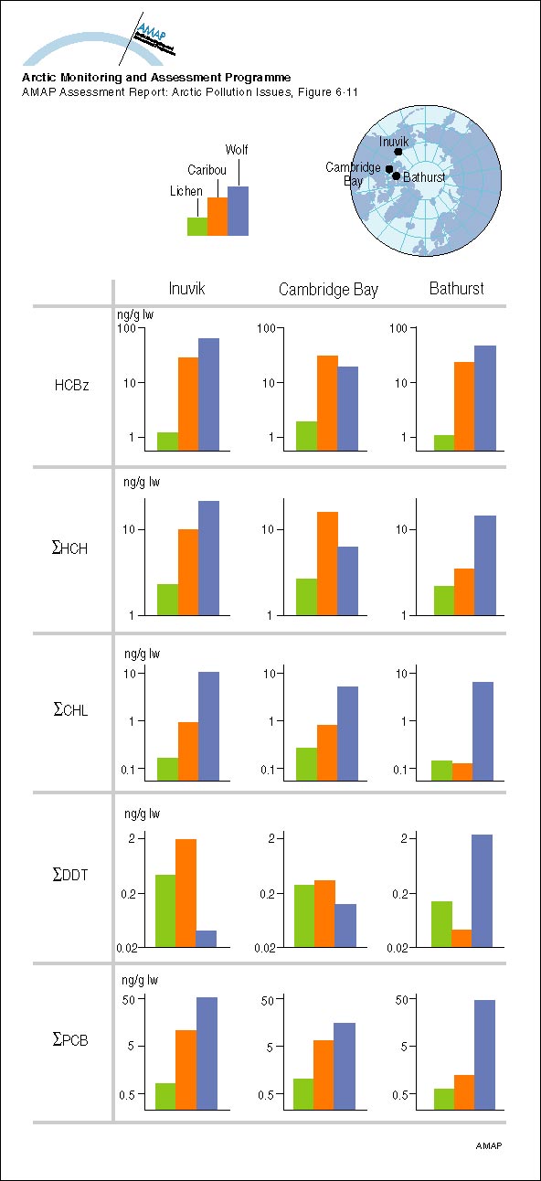
Relative tissue concentrations of organochlorine compounds detected in lichen, and in adipose tissue of caribou and wolf at three locations in the Northwest Territories, Canada

Relative tissue concentrations of organochlorine compounds detected in lichen, and in adipose tissue of caribou and wolf at three locations in the Northwest Territories, Canada

1 File

Name
Kind
Size
Language
Status
Modified
Options
JPG
72KB
English
Active
02.12.07 22:44
Download

Meta Data

Published:

2007-11-20

Sources:

(AAR Figure 6.11)

Region:

canadaarctic

Edited_by:

hugo.ahlenius@grida.no

Cartographer / Designer:

Graphical production: Philippe Rekacewicz and Emmanuelle Bournay (GRID-Arendal)