Thumbnail

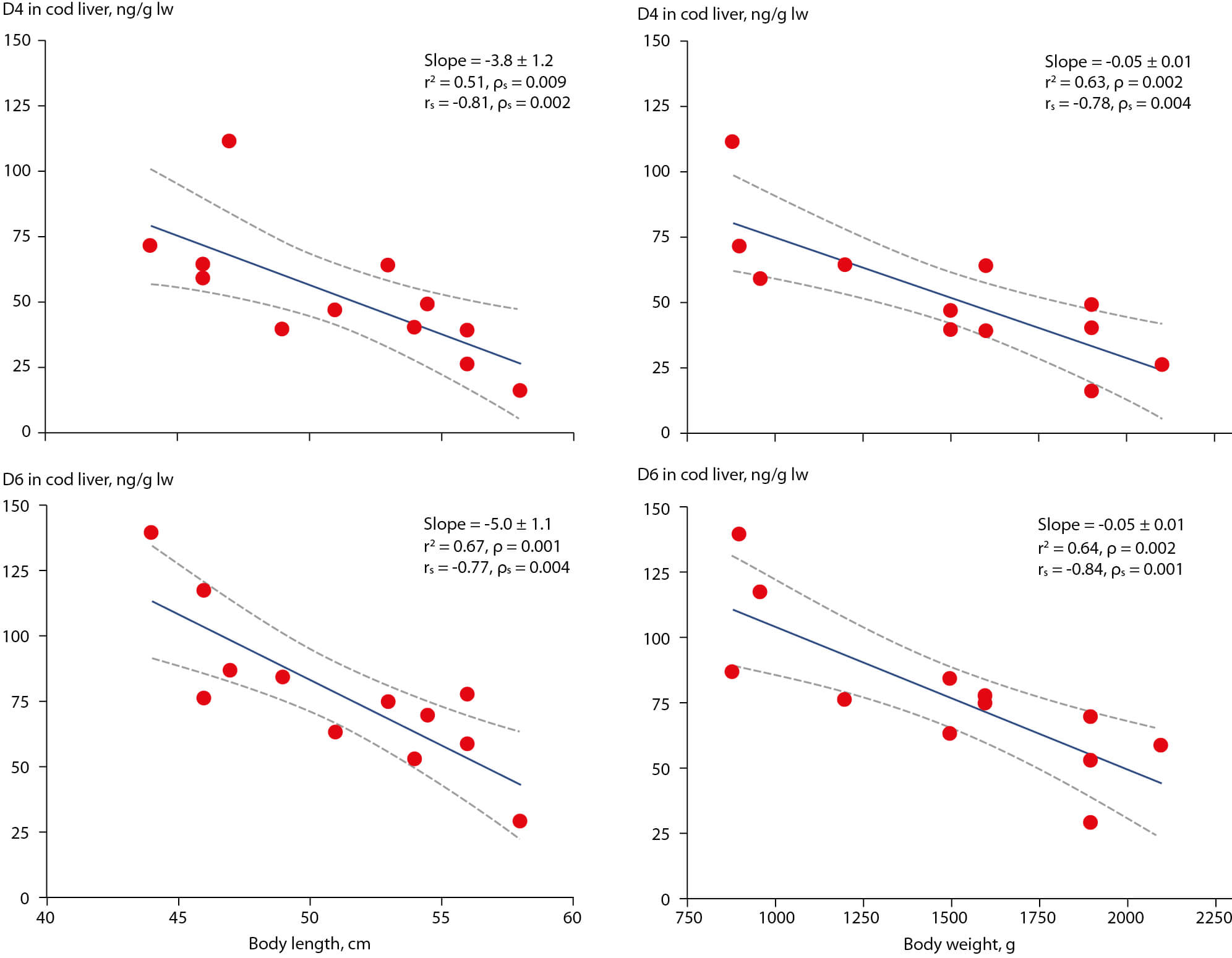
Figure 2.78 Linear regressions and Spearman correlations between D4 and D6 liver concentrations and fish length and weight for Atlantic cod collected from Tromsø. Dashed line represents 95% confidence interval of linear regression; r2 and rs represent correlation coefficient for linear and Spearman regression tests, respectively; ρ and ρs represent probability for linear and Spearman correlation to be caused by random sampling, respectively (Warner et al., 2014).

2 Files

Name
Kind
Size
Language
Status
Modified
Options
AI
169KB
English
Active
01.01.70 00:00
Download
JPG
107KB
English
Active
01.01.70 00:00
Download

Meta Data

Publication:

AMAP Assessment 2016: Chemicals of Emerging Arctic Concern

Page number:

137

Type:

Graph

Caption:

Figure 2.78 Linear regressions and Spearman correlations between D4 and D6 liver concentrations and fish length and weight for Atlantic cod collected from Tromsø. Dashed line represents 95% confidence interval of linear regression; r2 and rs represent correlation coefficient for linear and Spearman regression tests, respectively; ρ and ρs represent probability for linear and Spearman correlation to be caused by random sampling, respectively (Warner et al., 2014).

Location:

Norway, Troms

Copyright:

Arctic Monitoring and Assessment Programme (AMAP)

Cartographer / Designer:

Burnthebook.co.uk