Thumbnail

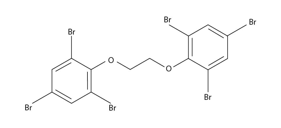
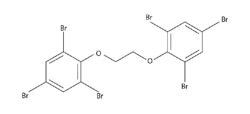
Figure 2.46 Chemical structure of 1,2-bis(2,4,6-tribromophenoxy) ethane (BTBPE).

2 Files

Name
Kind
Size
Language
Status
Modified
Options
AI
52KB
English
Active
01.01.70 00:00
Download
JPG
12KB
English
Active
01.01.70 00:00
Download

Meta Data

Publication:

AMAP Assessment 2016: Chemicals of Emerging Arctic Concern

Page number:

80

Type:

Schematic

Caption:

Figure 2.46 Chemical structure of 1,2-bis(2,4,6-tribromophenoxy) ethane (BTBPE).

Copyright:

Arctic Monitoring and Assessment Programme (AMAP)

Cartographer / Designer:

Burnthebook.co.uk