Thumbnail

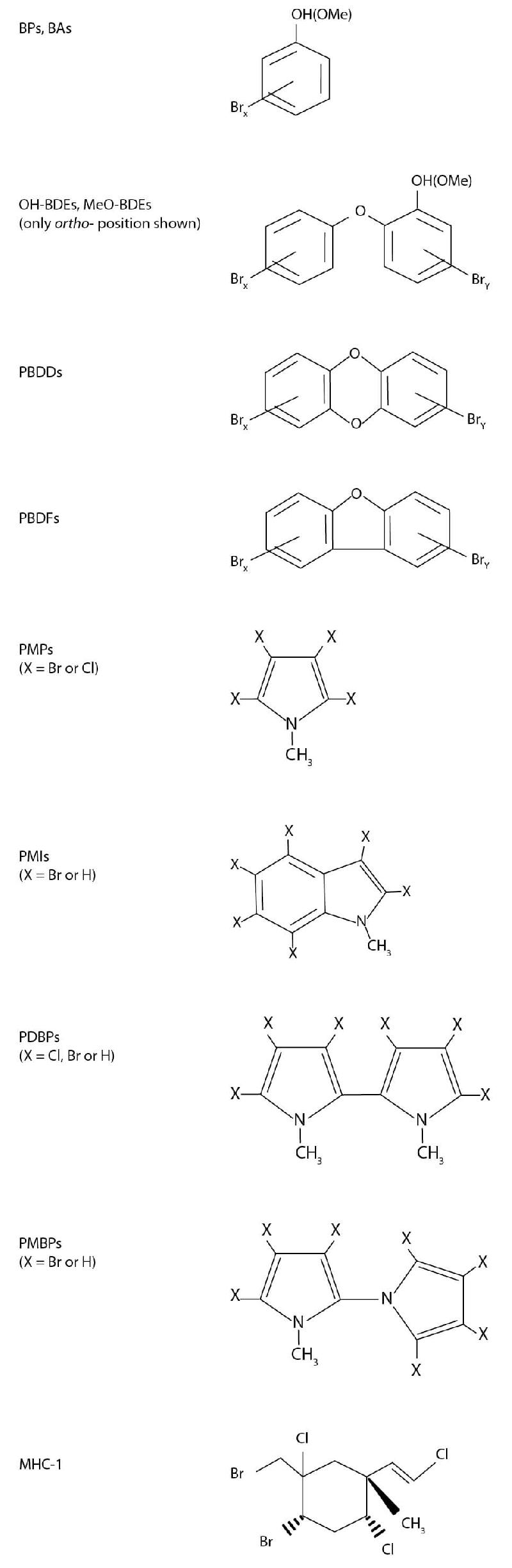
Figure 2.120 Structures of some high molecular weight HNPs.

2 Files

Name
Kind
Size
Language
Status
Modified
Options
AI
126KB
English
Active
01.01.70 00:00
Download
JPG
76KB
English
Active
01.01.70 00:00
Download

Meta Data

Publication:

AMAP Assessment 2016: Chemicals of Emerging Arctic Concern

Page number:

250

Type:

Schematic

Caption:

Figure 2.120 Structures of some high molecular weight HNPs.

Copyright:

Arctic Monitoring and Assessment Programme (AMAP)

Cartographer / Designer:

Burnthebook.co.uk