Thumbnail

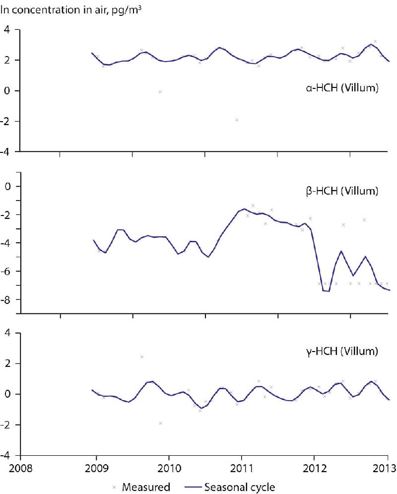
Figure 4.19 Seasonal cycles of α-HCH, β-HCH and γ-HCH in air at the Villum Research Station (Greenland).

2 Files

Name
Kind
Size
Language
Status
Modified
Options
AI
131KB
English
Active
01.01.70 00:00
Download
JPG
43KB
English
Active
01.01.70 00:00
Download

Meta Data

Publication:

AMAP Assessment 2015: Temporal Trends in Persistent Organic Pollutants in the Arctic

Page number:

21

Type:

Graph

Caption:

Figure 4.19 Seasonal cycles of α-HCH, β-HCH and γ-HCH in air at the Villum Research Station (Greenland).

Location:

Greenland, Villum

Copyright:

Arctic Monitoring and Assessment Programme (AMAP)

Cartographer / Designer:

Burnthebook.co.uk